Cálculo del campo eléctrico debido a una serie de cargas puntuales dispuestas en el eje de ordenadas y a una distribución lineal de carga
A menudo, la primera dificultad con la que se encuentran los estudiantes de física de cursos iniciales estriba en identificar qué fórmula se debe aplicar a cada problema. O más correctamente, cómo relacionar una serie de expresiones matemáticas con un caso físico real. Para ello tenemos que saber, en primer lugar, diferenciar el supuesto físico que nos propone el problema, porque aunque las leyes físicas resultan inmutables, la naturaleza, en este caso el campo eléctrico, se comporta de diversas formas según las condiciones que se den.
Por eso, en esta sección vamos a abordar la diferencia sustancial entre una carga lineal uniformemente distribuida y una disposición de n cargas puntuales dispuestas a lo largo del eje de ordenadas. Entonces veremos cómo varía el campo eléctrico dependiendo de que este se deba a un sistema de cargas puntuales o a un único cuerpo cargado.

Tenemos una distribución de cargas puntuales, tal y como se indica en la figura adjunta, sobre el eje Y, 9 cargas del mismo valor distribuidas de forma equidistante entre los puntos A’ (0, -4, 0) y B’ (0, 4, 0). Se pide:
- Calcular el campo en los puntos A (1, 0, 0) y B (10, 0, 0), respectivamente, del eje de abscisas.
- Considerar las 9 cargas puntuales como una distribución lineal uniforme de carga, tal que Q = 9q, sobre el segmento de recta comprendido entre los puntos A’ y B’. Con estas condiciones calcular el campo eléctrico en los puntos A y B.
- Comparar los resultados obtenidos en los apartados anteriores.
CARGAS PUNTUALES
Aplicamos el principio de superposición lineal. Para lo cual, en primer lugar, identificamos los vectores de posición:

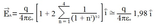
Punto A (1, 0, 0)
Si di senαi = n, (n = 1, 2, …, 4) → |r – ri| = di = (1 + n2)1/2
Por la simetría de la distribución las componentes verticales j se anulan, salvo la carga q en el punto de origen O (0, 0, 0).

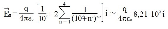
Punto B (10, 0, 0)
Con respecto al caso anterior solo varía el vector de posición r = 10 i y di = (102 + n2)1/2

DISTRIBUCIÓN DE CARGA LINEAL
Suponemos que a lo largo del eje Y tenemos una distribución lineal de carga tal que
λ = 9q/8 (C/m)
Los vectores de posición correspondientes:

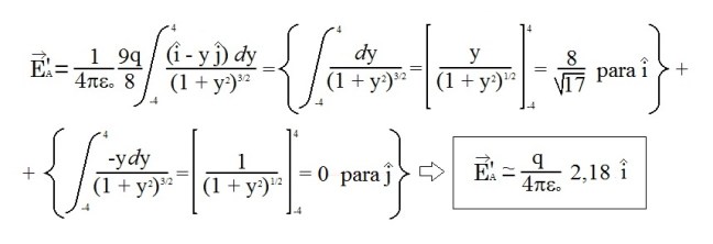
Punto A (1, 0, 0)

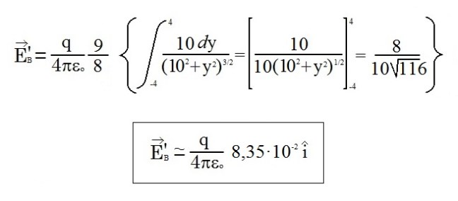
Punto B (10, 0, 0)
Solo varía con respecto al caso anterior r = 10 i y d = (102 + y2)1/2

CÓMO VARÍA EL CAMPO E
La diferencia entre cargas puntuales y distribución lineal disminuye más rápidamente con la distancia, al igual que el campo eléctrico E.
Así, la conclusión, apuntada ya en el apartado c), nos viene a decir que la diferencia entre cargas puntuales y una distribución lineal se hace más notable cuanto más cerca se ubica el campo de las cargas. Es por eso que, a la hora de analizar disposiciones de cargas puntuales, solemos recurrir al cálculo de momentos y términos monopolares, dipolares y cruadripolares, que arrojan un resultado más exacto, ya que tienen en cuenta la posición relativa de las cargas.