Saltar al contenido.
La regla de Barrow
divulgación, reflexión y crítica
Menú
Moaramore
Libros
Artículos
Física y matemáticas
Biblioteca
Contacto
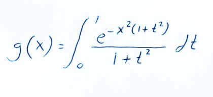
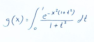
g(x) impropia
Publicado el
mayo 3, 2016
por
moaramore
Navegación de entradas
←
Problemas imposibles o profesores exagerados
Deja un comentario
Cancelar la respuesta
Δ
Privacidad y cookies: este sitio utiliza cookies. Al continuar utilizando esta web, aceptas su uso.
Para obtener más información, incluido cómo controlar las cookies, consulta aquí:
Política de cookies
Comentar
Suscribirse
Suscrito
La regla de Barrow
Suscríbeme
¿Ya tienes una cuenta de WordPress.com?
Inicia sesión
.
La regla de Barrow
Suscribirse
Suscrito
Regístrate
Iniciar sesión
Copiar enlace corto
Denunciar este contenido
Ver la entrada en el Lector
Gestionar las suscripciones
Contraer esta barra